私は大学が提供したウェブサイトから応募し、不動産会社からメールで連絡がありましたが、これにつながるいくつかのことがあったため、疑問に思っています。

すべての取引は VR-IMMOBILIENGRUPPE の担当者または代表者によって処理されました。

私に送られた最初の契約書は ERL のもので、私はそれに署名して送り返しました。彼らはアパート内覧の日付を指定していました。私はそれがオンラインになるだろうと思っていて、その日の前に何度かミーティングのリンクを求めました。アパート内覧日の後に、別のアパートの契約書が送られてきました。私はそのどちらかの正当性を明確にするよう求めましたが、そのメールの 1 つでその人が、これまで契約を結んだことがないと返信したため、私は 2 番目の契約書に署名して送り、彼らもそれに連署して私に送りました。最近まで、古い ERL アパートのチェックインの詳細を受け取りましたが、そこには鍵の引き渡し前に注意事項を支払うよう記載されていました。

主なポイント: – 最初の契約は 3 回の分割払いが必要で、2 番目の契約は全額払い、つまり 1110 ユーロが必要でした。

  • 鍵の引き渡し前に料金の支払いを求められ、その後初めて鍵が渡されます – 3月2日に着陸します

  • アパートを実際に見る前にその金額を送金することに抵抗があります。2 番目のアパートの連署契約を結んでいるのですが、むしろそこに行って、アパートを訪問してから送金を開始する必要がありますか? – 内覧と転勤が決まるまで、バッチメイトの何人かにアパートに住んでもらう必要があります

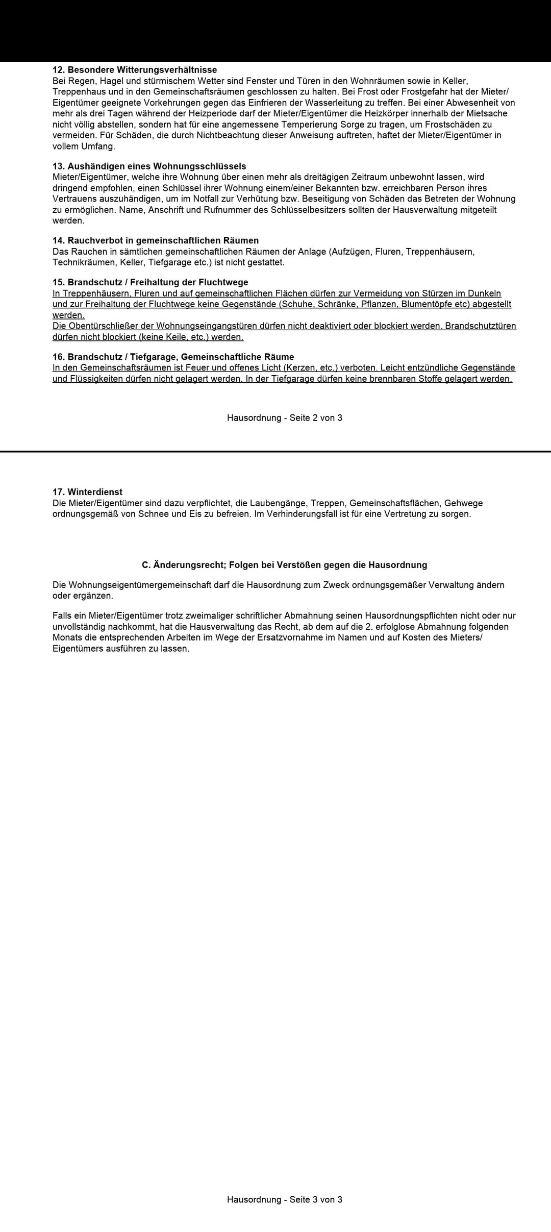
添付のスクリーンショットは、上記のテキストのコンテキストを示すものです (これらはすべて、最近の 2 番目の契約からのものです。私はそのアパートのエネルギーと AVB Anlange の文書も受け取りました)。何か言い忘れていたかもしれません。ご提案をもっと明確にする必要がある場合は、これに返信してください。質問にお答えします。

私が次に何をすべきかについてのあなたの意見は非常に高く評価されています

Share.